霍山县人民政府征收土地公告
霍征地告〔2025〕7号
霍山县人民政府征收土地公告
霍征地告〔2025〕7号
2025年12月8日,经国务院批准,自然资源部印发《关于G346霍山至英山绿色公路工程(一期)项目用地土地征收的批复》(自然资函〔2025〕796号),2025年12月22日,安徽省自然资源厅向霍山县人民政府转发该批复(皖自然资管函〔2025〕653号),批准征收集体土地229.4180公顷(3441.27亩)。根据《中华人民共和国土地管理法》第四十七条、《中华人民共和国土地管理法实施条例》第三十一条及《安徽省土地征收及补偿安置办法》第二十一条等有关规定,现将有关事项公告如下:
一、征收范围
本次拟征收土地位于黑石渡镇黑石渡社区坳子行组、红石咀组,清潭沟村大长岭组、过龙滩组、河沿组、姜家冲组、老院子组、上行组、桃园组、窑湾组、中行组,朱家畈村鸡笼山组、烂泥冲组、小河南组、小河湾组、新街组、窑榜组;大化坪镇白莲崖村甘塘坳组、凉水井组、沙塘湾组、双河口组、洗脚河组、永安桥组、御史坟组、子金庵组,铁岭村瓦背冲组,王家河村江家湾组、潘家湾组、童家冲组,舞旗河村大兴湾组、欧家湾组、土地坳组、万家湾组、朱家老屋组、马鞍山组;漫水河镇安家河村安东组、安家河组、上冲组、下冲组、熊家河组、中冲组,径树林村包家岭组、陈家湾组、张家湾组、筏形地组、高岩组、广生组、何家湾组、横排组、小回岭组,李家河村大柳树组、大屋组、奉政祠组、李家河组、汪家冲组、五桂堂组,万家山村丰家湾组、胡家山组、老林寨组、下长岭组、响水洪组、张家湾组,西镇社区程家湾组、清水河组;上土市镇陡沙河村方家湾组、黑龙湾组、雷家畈组、新开岭组、金龙湾组,上土市村白沙岭组范围内。
征收土地位置详见附图。
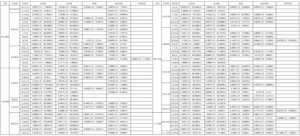
本次批准征收土地面积229.4180公顷(3441.27亩),其中:农用地210.0294公顷(3150.441亩),含耕地20.9366公顷(314.049亩)、永久基本农田0公顷(0亩);建设用地19.0528公顷(285.792亩);未利用地0.3358公顷(5.037亩)。具体现状如下:

二、工作安排
本公告发布后,霍山县人民政府将组织黑石渡镇人民政府、大化坪镇人民政府、漫水河镇人民政府、上土市镇人民政府实施土地征收。
对签订征地补偿安置协议的,将于本公告发布之日起90日内,按照《霍山县人民政府征地补偿安置方案公告》(霍征补安置〔2025〕3号)及征地补偿安置协议确定的补偿安置费用,将土地补偿费、安置补助费支付给被征地农村集体经济组织和被征地农户,将农村村民住宅以及其他地上附着物和青苗等的补偿费用支付给其所有权人,将搬迁、临时安置费用支付给搬迁人、被安置人。
对未签订征地补偿安置协议的,霍山县人民政府将根据土地现状调查结果、征地补偿安置方案和补偿登记结果等,在自收到征地批准文件之日起15个工作日内作出征地补偿安置决定,送达土地使用权人,并按照决定内容进行补偿。
霍山县人民政府将按照《安徽省人民政府关于对符合条件的被征地农民社会保障对象实行基本养老保险缴费补贴政策的通知》(皖政〔2023〕72号)《安徽省人力资源和社会保障厅 安徽省财政厅 安徽省自然资源厅 安徽省农业农村厅关于印发对符合条件的被征地农民社会保障对象实行基本养老保险缴费补贴实施细则的通知》(皖人社发〔2023〕18号)和《六安市人民政府关于对符合条件的被征地农民社会保障对象实行基本养老保险缴费补贴政策的通知》(六政〔2024〕28号)等规定,将被征地农民社会保障费用转入被征地农民社会保障资金专户,并将符合条件的被征地农民纳入相应的养老等社会保障体系。
征地补偿安置到位后,被征收土地所有权人、使用权人应当在2026年3月29日前腾退土地、房屋及其他地上附着物,并将被征收土地所有权、承包经营权等相关权属证书移交给黑石渡镇人民政府(地址:黑石渡镇人民政府,联系人:刁刚;联系方式:0564-5246129)、大化坪镇人民政府(地址:大化坪镇人民政府,联系人:俞玉志,联系方式:0564-5586016)、漫水河镇人民政府(地址:漫水河镇人民政府,联系人:王宁,联系方式:0564-5781006)和上土市镇人民政府(地址:上土市镇人民政府,联系人:陈刚,联系方式:0564-5711321)。霍山县自然资源和规划局将依据征地批准文件等,报霍山县人民政府同意并公告后,集中办理集体土地所有权、使用权以及土地承包经营权、土地经营权等的变更或者注销登记。对已签订征地补偿安置协议,但拒不按协议约定腾退的,霍山县人民政府将作出责令交出土地的决定。
三、公告期限和救济渠道
本公告在拟征收土地所在的黑石渡镇黑石渡社区坳子行组、红石咀组,清潭沟村大长岭组、过龙滩组、河沿组、姜家冲组、老院子组、上行组、桃园组、窑湾组、中行组,朱家畈村鸡笼山组、烂泥冲组、小河南组、小河湾组、新街组、窑榜组;大化坪镇白莲崖村甘塘坳组、凉水井组、沙塘湾组、双河口组、洗脚河组、永安桥组、御史坟组、子金庵组,铁岭村瓦背冲组,王家河村江家湾组、潘家湾组、童家冲组,舞旗河村大兴湾组、欧家湾组、土地坳组、万家湾组、朱家老屋组、马鞍山组;漫水河镇安家河村安东组、安家河组、上冲组、下冲组、熊家河组、中冲组,径树林村包家岭组、陈家湾组、张家湾组、筏形地组、高岩组、广生组、何家湾组、横排组、小回岭组,李家河村大柳树组、大屋组、奉政祠组、李家河组、汪家冲组、五桂堂组,万家山村丰家湾组、胡家山组、老林寨组、下长岭组、响水洪组、张家湾组,西镇社区程家湾组、清水河组;上土市镇陡沙河村方家湾组、黑龙湾组、雷家畈组、新开岭组、金龙湾组,上土市村白沙岭组范围内,采用乡镇政务公开栏及村务公开栏张贴等方式发布,并在霍山县政府门户网站(https://www.ahhuoshan.gov.cn/public/column/6597871?type=4&action=list&nav=3&catId=7334834)发布。本公告期限为自发布之日起不少于5个工作日。
本公告未尽事宜,均按照法律、法规和政策的有关规定办理。
联系单位:霍山县自然资源和规划局,联系人:陈军,联系方式:0564-5038829。
附件:G346霍山至英山绿色公路工程(一期)项目征收土地范围示意图
霍山县人民政府
2025年12月26日
G346霍山至英山绿色公路工程(一期)项目征收土地范围示意图

专题首页
政策解读
回应关切
办事服务
依申请公开
皖公网安备 34152502000002号